missing translation for 'onlineSavingsMsg'
Learn More

DiscoverX PathHunter™ eXpress PTGFR U2OS β-Arrestin GPCR Assay

Product Code. 17374039
Encompass
Click to view available options
Quantity:
1,000 dp (10 x 96-well)
Unit Size:
1 set
This item is not returnable. View return policy

Product Code. 17374039

Brand: DiscoverX 930936E3CP5L

Please to purchase this item. Need a web account? Register with us today!

This item is not returnable. View return policy

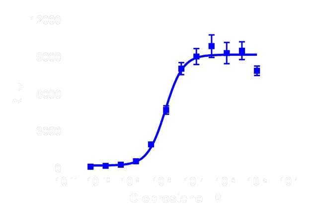
The PathHunter™ eXpress PTGFR U2OS β-Arrestin GPCR Assay measures PTGFR (GPCR) activity via recruitment of β-Arrestin2. eXpress kits contain all assay materials: cells, reagents, and plates.

The PathHunter™ PTGFR β-Arrestin eXpress Kit provides an easy-to-use cell based assay to study drug candidates (small molecules or biologics) targeting GPCRs. This kit assesses ligand (e.g. cloprostenol) based activation of PTGFR GPCR activity via detection of β-arrestin recruitment. This product uses EFC technology (www.discoverx.com/technologies-platforms/enzyme-fragment-complementation-technology). The included cells overexpress PK-tagged PTGFR and EA-tagged β-Arrestin 2. Activation of PTGFR stimulates the recruitment of β-Arrestin 2 and produces EFC signal. eXpress kits are a convenient, ready-to-use format which contains all materials needed to run the assay, including single-use vials of cryopreserved cells, cell plating media, detection reagent, and assay plates.

Specifications

Assay Entry β-Arrestin-2 recruitment
For Use With (Application) Assay-Ready eXpress Kits
Primary Agonist (+/-)-Cloprostenol sodium salt hydrate
Quantity 1,000 dp (10 x 96-well)
Target Entry PTGFR
Cell Line U2OS
Target PTGFR
Product Content Correction

The Fisher Scientific Encompass Program offers items which are not part of our distribution portfolio. These products typically do not have pictures or detailed descriptions. However, we are committed to improving your shopping experience. Please use the form below to provide feedback related to the content on this product.

Product Title

By clicking Submit, you acknowledge that you may be contacted by Fisher Scientific in regards to the feedback you have provided in this form. We will not share your information for any other purposes. All contact information provided shall also be maintained in accordance with our Privacy Policy.

Thank You! Your feedback has been submitted. Fisher Scientific is always working to improve our content for you. We appreciate your feedback.