missing translation for 'onlineSavingsMsg'
Learn More

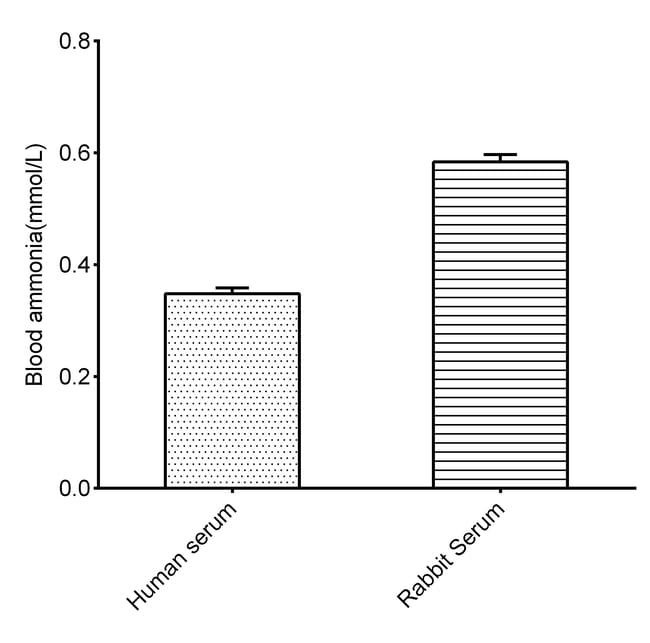
Novus Biologicals™ Blood Ammonia Assay Kit (Colorimetric)

Product Code. 18643031 Shop All Bio Techne Products
Click to view available options
Quantity:
100 Assays
Unit Size:
1 set
This item is not returnable. View return policy

Product Code. 18643031

Brand: Novus Biologicals™ NBP325895

Please to purchase this item. Need a web account? Register with us today!

This item is not returnable. View return policy

Assay Kit (Colorimetric)

TRUSTED_SUSTAINABILITY

Specifications

Content And Storage Storage of components varies. See protocol for specific instructions.
Quantity 100 Assays
Species Non-species specific
Product Content Correction

Your input is important to us. Please complete this form to provide feedback related to the content on this product.

Product Title

By clicking Submit, you acknowledge that you may be contacted by Fisher Scientific in regards to the feedback you have provided in this form. We will not share your information for any other purposes. All contact information provided shall also be maintained in accordance with our Privacy Policy.

Thank You! Your feedback has been submitted. Fisher Scientific is always working to improve our content for you. We appreciate your feedback.