missing translation for 'onlineSavingsMsg'
Learn More
Learn More
Invitrogen™ SRRM2 Polyclonal Antibody

Rabbit Polyclonal Antibody
Brand: Invitrogen™ PA540652
This item is not returnable.
View return policy
Description
Peptide sequence: DKKEKSATRP SPSPERSSTG PEPPAPTPLL AERHGGSPQP LATTPLSQEP Sequence homology: Cow: 86%; Dog: 90%; Guinea Pig: 79%; Horse: 86%; Human: 100%; Mouse: 93%; Pig: 86%; Rabbit: 93%; Rat: 93%.
SRRM2 is involved in pre-mRNA splicing. It may function at or prior to the first catalytic step of splicing at the catalytic center of the spliceosome and may do so by stabilizing the catalytic center or the position of the RNA substrate. It binds to RNA.
Specifications
| SRRM2 | |
| Polyclonal | |
| Unconjugated | |
| SRRM2 | |
| 300 kDa nuclear matrix antigen; 300-KD; 5033413A03Rik; AA410130; Cwc21; CWF21; HSPC075; Kiaa0324; mKIAA0324; RNA binding protein; ser/Arg-related nuclear matrix protein of 300 kDa; serine/arginine repetitive matrix 2; serine/arginine repetitive matrix protein 2; Serine/arginine-rich splicing factor-related nuclear matrix protein of 300 kDa; splicing coactivator subunit SRm300; SRL300; SRm300; SR-related nuclear matrix protein of 300 kDa; SRRM2; taxREB803; Tax-responsive enhancer element-binding protein 803; testicular secretory protein Li 53 | |
| Rabbit | |
| Affinity chromatography | |
| RUO | |
| 23524 | |
| -20°C, Avoid Freeze/Thaw Cycles | |
| Liquid |
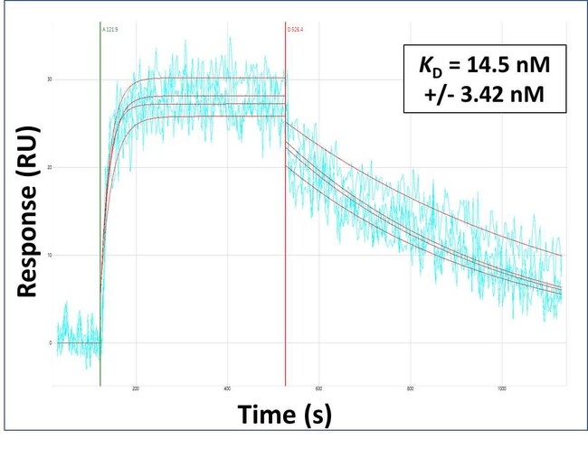
| Western Blot, Surface Plasmon Resonance | |
| 0.5 mg/mL | |
| PBS with 2% sucrose and 0.09% sodium azide | |
| Q9UQ35 | |
| SRRM2 | |
| Synthetic peptide directed towards the C-terminal of human SRRM2 (aa 341-390). | |
| 100 μL | |
| Primary | |
| Human | |
| Antibody | |
| IgG |
Product Content Correction
Your input is important to us. Please complete this form to provide feedback related to the content on this product.
Product Title
Spot an opportunity for improvement?Share a Content Correction